引用 DAG 結構是對「傳統」區塊鏈架構的挑戰。它透過天然的平行架構能夠有效提升網路吞吐量,改善交易確認延遲的問題。另外,由於它並不需要礦工來干涉區塊打包的過程,因此這不僅使交易手續費得以降低,而且還避免了礦工或第三方為獲取 MEV 來干涉交易排序的問題。因此,這些特性足以讓市場和開發者對其寄予厚望。
出品:外捕研究(Web3Caff Research)研究院
封面: Photo by Milad Fakurian on Unsplash
字數:全文共 3000+ 字
說明:本內容為研究簡報版本,用於快速呈現本研究對象當前的結構位置與核心判斷,其權威性源自外捕研究(Web3Caff Research)及其研究員 ShirleyLi 基於本研究對象發表的專項研究報告:《DAG 賽道萬字研報:不是區塊鏈的 DAG,能否引爆 Web3 的「iPhone 時刻」?全景式拆解其發展背景、實現機制、生態現狀、發展前景及未來挑戰》
目錄
- 一、研究背景:傳統區塊鏈架構的效能瓶頸
- 二、DAG 架構:傳統區塊鏈的結構性重構
- 三、核心挑戰:DAG 共識如何運作
- 四、DAG 技術的主要實現路徑
- 五、產業發展趨勢
- 六、主要風險與挑戰
- 七、結論:DAG 能否成為 Web3 的「iPhone 時刻」?
- 要點結構圖
一、研究背景:傳統區塊鏈架構的效能瓶頸
過去十餘年,區塊鏈基礎設施主要基於鍊式結構(Blockchain )建構:交易被打包成區塊,區塊按時間順序線性連接形成帳本。比特幣、以太坊等主流公鏈均採用此一範式。
然而隨著鏈上應用和用戶規模增長,傳統區塊鏈逐漸暴露出結構性瓶頸:
- 吞吐量限制(TPS):區塊容量與出塊時間限制交易處理速度
- 確認延遲較高:需等待區塊生成與確認
- 手續費上升:網路壅塞導致交易成本上升
雖然業界提出了 Layer2、分片、平行執行等擴容方案,但這些方案更多是對現有架構的最佳化,而非底層結構的改變。
在這一背景下,一部分研究者開始探索一種不同的資料結構—有向無環圖(DAG ),希望從根本上突破區塊鏈效能限制。
近年來,隨著 U2U Network、Waterfall Network 等專案獲得融資,以及 Sui、Kaspa 等專案逐漸成熟,DAG 再次成為 Web3 基礎設施的重要技術方向。
二、DAG 架構:傳統區塊鏈的結構性重構
DAG 的基本概念
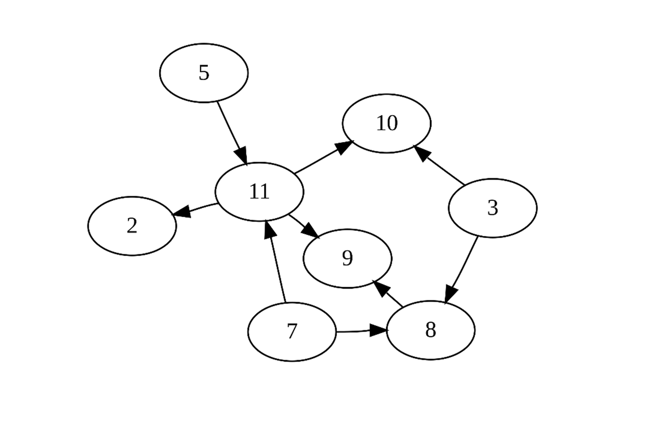
DAG(Directed Acyclic Graph)意為有向無環圖,是圖論中的一種結構。
其核心特點包括:
- 資料節點之間透過有向邊連接
- 不存在循環路徑
- 每個節點可以同時引用多個前序節點
如果將 DAG 應用於分散式帳本系統,則每個節點可以代表一筆交易或區塊。與傳統區塊鏈不同,新交易無需等待區塊生成即可直接引用先前的交易完成驗證。
因此,DAG 網路往往具有以下潛在優勢:
- 平行處理能力強
- 無需礦工打包區塊
- 理論吞吐量更高
- 交易確認延遲更低
一些研究者甚至提出,在 DAG 系統中,用戶發起交易的同時也在參與網路驗證。

與傳統區塊鏈結構的對比
比特幣:UTXO + Merkle Tree
比特幣採用 UTXO(未花費交易輸出)模型。
每個區塊內部透過 Merkle Tree (默克爾樹)記錄交易哈希,並透過區塊哈希形成線性鏈結構。
這種模型安全性極高,但並行能力有限。

以太坊:帳戶模型+ MPT
以太坊採用帳戶模型並引入 Merkle Patricia Trie(MPT)來儲存帳戶狀態。
系統維護三類核心資料結構:
- 狀態樹(State Root)
- 交易樹(Transaction Root)
- 收據樹(Receipt Root)
此結構更適合智慧合約,但狀態更新頻繁,也對網路效能造成限制。
年度 PRO 研究会员
全年跟踪 Web3 一线趋势与关键变化,研究覆盖 Web3 80+ 赛道-
研究简报栏目内容(全量内容开放且每周上新,简报内容依托于机构级万字研报,每期约 5 分钟阅读时间,获取当前结构位置与核心判断)
-
市场脉搏分析栏目内容(全量内容开放且持续更新,高效捕获市场风向异动)
-
融资项目解密栏目内容(全量内容开放且持续更新,结构化视角拆解新发热门融资项目)
-
解锁查阅本会员权限的栏目历史内容
-
Web3 术语悬浮释义(专业术语即时解释,新人亦轻松读报告)
-
会员社群(与研究分析师、行业从业者、专业研究者等共研精进)
-
每日内参消息推送(省心获取每日融资与市场热点事件)
-
图解推送(热门数据、精华图)
-
会员参与分享活动可免费获赠《Web3 认知破冰课》
年度 PRO 研究会员
全年跟踪 Web3 一线趋势与关键变化,研究覆盖 Web3 80+ 赛道-
研究简报栏目内容(全量内容开放且每周上新,简报内容依托于机构级万字研报,每期约 5 分钟阅读时间,获取当前结构位置与核心判断)
-
市场脉搏分析栏目内容(全量内容开放且持续更新,高效捕获市场风向异动)
-
融资项目解密栏目内容(全量内容开放且持续更新,结构化视角拆解新发热门融资项目)
-
解锁查阅本会员权限的栏目历史内容
-
Web3 术语悬浮释义(专业术语即时解释,新人亦轻松读报告)
-
会员社群(与研究分析师、行业从业者、专业研究者等共研精进)
-
每日内参消息推送(省心获取每日融资与市场热点事件)
-
图解推送(热门数据、精华图)
-
会员参与分享活动可免费获赠《Web3 认知破冰课》
机构标准版年度会员
机构级研究标准服务配置-
企业多账号 (1 席位,若需增加席位可选其他版本)
-
研报栏目内容 (所有项目、叙事与赛道等系列机构级研报全量解锁,每周上新,报告方向已覆盖 80+ Web3 赛道,用户评价“相见恨晚”)
-
研究简报(内容依托于研报,快速获取结构位置与核心判断)
-
市场脉搏分析、融资项目解密栏目内容(持续更新,市场热点与热门融资项目轻松捕获)
-
Web3 项目融资数据库
-
Web3 事件追踪数据库
-
会员周报(一周精华高效吸收)
-
解锁本会员权限的栏目历史内容
-
定制化研究报告(1 份,选题需审核,让业内享有盛誉的研究团队为你展开专项研究并输出成果)
-
优先获取重点研究方向预告说明
-
提前获取研报权( 5 次,官方发布研报预告后可根据请求领先市场以提前解锁)
-
分析师 1 对 1 沟通(1 小时,话题需审核)
-
分析师专属答疑服务(3 次提问,话题需审核)
-
查阅分析师答疑精华汇总栏目(精选高价值沉淀内容)
-
机构级闭门沟通会(每季度 1 次,获取行业趋势一手信息与资源)
-
机构专属社群(与 Web3 高管、机构、基金等共研精进)
-
可下载报告 PDF 版
-
数据库产品 CSV 下载(可根据请求“非全量”提供,1次/年)
-
Web3 词库(支持报告内术语悬浮释义)
-
每日内参消息推送
-
每日精选推送
-
图解推送(热门数据、精华图)
-
研究方向沟通与反馈
-
定制化研究报告折扣(9.5 折)
机构高级版年度会员
强化研究频率与响应能力-
企业多账号 (2 席位,若需增加席位请联系客服)
-
研报栏目内容 (所有项目、叙事与赛道等系列机构级研报全量解锁,每周上新,报告方向已覆盖 80+ Web3 赛道,用户评价“相见恨晚”)
-
研究简报(内容依托于研报,快速获取结构位置与核心判断)
-
市场脉搏分析、融资项目解密栏目内容(持续更新,市场热点与热门融资项目轻松捕获)
-
Web3 项目融资数据库
-
Web3 事件追踪数据库
-
会员周报(一周精华高效吸收)
-
解锁本会员权限的栏目历史内容
-
定制化研究报告(1 份,选题需审核,让业内享有盛誉的研究团队为你展开专项研究并输出成果)
-
优先获取重点研究方向预告说明
-
提前获取研报权(12 次,官方发布研报预告后可根据请求领先市场提前解锁)
-
分析师 1 对 1 沟通(1 小时,话题需审核)
-
分析师专属答疑服务(6 次提问,话题需审核)
-
查阅分析师答疑精华汇总栏目(精选高价值沉淀内容)
-
机构级闭门沟通会(每季度 1 次,获取行业趋势一手信息与资源)
-
机构专属社群(与 Web3 高管、机构、基金等共研精进)
-
可下载报告 PDF 版
-
数据库产品 CSV 下载(可根据请求“全量”提供,1次/年)
-
Web3 词库(支持报告内术语悬浮释义)
-
每日内参消息推送
-
每日精选推送
-
图解推送(热门数据、精华图)
-
研究方向沟通与反馈
-
定制化研究报告折扣(9.5 折)
机构专业版年度会员
定制研究 + 增强分析师支持-
企业多账号 (3 席位,若需增加席位请联系客服)
-
研报栏目内容 (所有项目、叙事与赛道等系列机构级研报全量解锁,每周上新,报告方向已覆盖 80+ Web3 赛道,用户评价“相见恨晚”)
-
研究简报(内容依托于研报,快速获取结构位置与核心判断)
-
市场脉搏分析、融资项目解密栏目内容(持续更新,市场热点与热门融资项目轻松捕获)
-
Web3 项目融资数据库
-
Web3 事件追踪数据库
-
会员周报(一周精华高效吸收)
-
解锁本会员权限的栏目历史内容
-
定制化研究报告(1 份,选题需审核,让业内享有盛誉的研究团队为你展开专项研究并输出成果)
-
优先获取重点研究方向预告说明
-
提前获取研报权(不限次,官方发布研报预告后可根据请求领先市场提前解锁)
-
分析师 1 对 1 沟通(1 小时,话题需审核)
-
分析师专属答疑服务(8 次提问,话题需审核)
-
查阅分析师答疑精华汇总栏目(精选高价值沉淀内容)
-
机构级闭门沟通会(每季度 1 次,获取行业趋势一手信息与资源)
-
机构专属社群(与 Web3 高管、机构、基金等共研精进)
-
可下载报告 PDF 版
-
数据库产品 CSV 下载(可根据请求“全量”提供,2次/年)
-
Web3 词库(支持报告内术语悬浮释义)
-
每日内参消息推送
-
每日精选推送
-
图解推送(热门数据、精华图)
-
研究方向沟通与反馈
-
定制化研究报告折扣(9 折)
机构旗舰版年度会员
深度调研及高优先级支持-
企业多账号 (3 席位,若需增加席位请联系客服)
-
研报栏目内容 (所有项目、叙事与赛道等系列机构级研报全量解锁,每周上新,报告方向已覆盖 80+ Web3 赛道,用户评价“相见恨晚”)
-
研究简报(内容依托于研报,快速获取结构位置与核心判断)
-
市场脉搏分析、融资项目解密栏目内容(持续更新,市场热点与热门融资项目轻松捕获)
-
Web3 项目融资数据库
-
Web3 事件追踪数据库
-
会员周报(一周精华高效吸收)
-
解锁本会员权限的栏目历史内容
-
定制化研究报告(1 份,选题需审核,让业内享有盛誉的研究团队为你展开专项研究并输出成果)
-
优先获取重点研究方向预告说明
-
提前获取研报权(不限次,官方发布研报预告后可根据请求领先市场提前解锁)
-
分析师 1 对 1 沟通(1 小时,话题需审核)
-
分析师专属答疑服务(12 次提问,话题需审核)
-
查阅分析师答疑精华汇总栏目(精选高价值沉淀内容)
-
机构级闭门沟通会(每季度 1 次,获取行业趋势一手信息与资源)
-
机构专属社群(与 Web3 高管、机构、基金等共研精进)
-
可下载报告 PDF 版
-
数据库产品 CSV 下载(可根据请求“全量”提供,3次/年)
-
Web3 词库(支持报告内术语悬浮释义)
-
每日内参消息推送
-
每日精选推送
-
图解推送(热门数据、精华图)
-
研究方向沟通与反馈
-
定制化研究报告折扣(9 折)
机构标准版年度会员
机构级研究标准服务配置-
企业多账号 (1 席位,若需增加席位可选其他版本)
-
研报栏目内容 (所有项目、叙事与赛道等系列机构级研报全量解锁,每周上新,报告方向已覆盖 80+ Web3 赛道,用户评价“相见恨晚”)
-
研究简报(内容依托于研报,快速获取结构位置与核心判断)
-
市场脉搏分析、融资项目解密栏目内容(持续更新,市场热点与热门融资项目轻松捕获)
-
Web3 项目融资数据库
-
Web3 事件追踪数据库
-
会员周报(一周精华高效吸收)
-
解锁本会员权限的栏目历史内容
-
定制化研究报告(1 份,选题需审核,让业内享有盛誉的研究团队为你展开专项研究并输出成果)
-
优先获取重点研究方向预告说明
-
提前获取研报权( 5 次,官方发布研报预告后可根据请求领先市场以提前解锁)
-
分析师 1 对 1 沟通(1 小时,话题需审核)
-
分析师专属答疑服务(3 次提问,话题需审核)
-
查阅分析师答疑精华汇总栏目(精选高价值沉淀内容)
-
机构级闭门沟通会(每季度 1 次,获取行业趋势一手信息与资源)
-
机构专属社群(与 Web3 高管、机构、基金等共研精进)
-
可下载报告 PDF 版
-
数据库产品 CSV 下载(可根据请求“非全量”提供,1次/年)
-
Web3 词库(支持报告内术语悬浮释义)
-
每日内参消息推送
-
每日精选推送
-
图解推送(热门数据、精华图)
-
研究方向沟通与反馈
-
定制化研究报告折扣(9.5 折)
机构高级版年度会员
强化研究频率与响应能力-
企业多账号 (2 席位,若需增加席位请联系客服)
-
研报栏目内容 (所有项目、叙事与赛道等系列机构级研报全量解锁,每周上新,报告方向已覆盖 80+ Web3 赛道,用户评价“相见恨晚”)
-
研究简报(内容依托于研报,快速获取结构位置与核心判断)
-
市场脉搏分析、融资项目解密栏目内容(持续更新,市场热点与热门融资项目轻松捕获)
-
Web3 项目融资数据库
-
Web3 事件追踪数据库
-
会员周报(一周精华高效吸收)
-
解锁本会员权限的栏目历史内容
-
定制化研究报告(1 份,选题需审核,让业内享有盛誉的研究团队为你展开专项研究并输出成果)
-
优先获取重点研究方向预告说明
-
提前获取研报权(12 次,官方发布研报预告后可根据请求领先市场提前解锁)
-
分析师 1 对 1 沟通(1 小时,话题需审核)
-
分析师专属答疑服务(6 次提问,话题需审核)
-
查阅分析师答疑精华汇总栏目(精选高价值沉淀内容)
-
机构级闭门沟通会(每季度 1 次,获取行业趋势一手信息与资源)
-
机构专属社群(与 Web3 高管、机构、基金等共研精进)
-
可下载报告 PDF 版
-
数据库产品 CSV 下载(可根据请求“全量”提供,1次/年)
-
Web3 词库(支持报告内术语悬浮释义)
-
每日内参消息推送
-
每日精选推送
-
图解推送(热门数据、精华图)
-
研究方向沟通与反馈
-
定制化研究报告折扣(9.5 折)
机构专业版年度会员
定制研究 + 增强分析师支持-
企业多账号 (3 席位,若需增加席位请联系客服)
-
研报栏目内容 (所有项目、叙事与赛道等系列机构级研报全量解锁,每周上新,报告方向已覆盖 80+ Web3 赛道,用户评价“相见恨晚”)
-
研究简报(内容依托于研报,快速获取结构位置与核心判断)
-
市场脉搏分析、融资项目解密栏目内容(持续更新,市场热点与热门融资项目轻松捕获)
-
Web3 项目融资数据库
-
Web3 事件追踪数据库
-
会员周报(一周精华高效吸收)
-
解锁本会员权限的栏目历史内容
-
定制化研究报告(1 份,选题需审核,让业内享有盛誉的研究团队为你展开专项研究并输出成果)
-
优先获取重点研究方向预告说明
-
提前获取研报权(不限次,官方发布研报预告后可根据请求领先市场提前解锁)
-
分析师 1 对 1 沟通(1 小时,话题需审核)
-
分析师专属答疑服务(8 次提问,话题需审核)
-
查阅分析师答疑精华汇总栏目(精选高价值沉淀内容)
-
机构级闭门沟通会(每季度 1 次,获取行业趋势一手信息与资源)
-
机构专属社群(与 Web3 高管、机构、基金等共研精进)
-
可下载报告 PDF 版
-
数据库产品 CSV 下载(可根据请求“全量”提供,2次/年)
-
Web3 词库(支持报告内术语悬浮释义)
-
每日内参消息推送
-
每日精选推送
-
图解推送(热门数据、精华图)
-
研究方向沟通与反馈
-
定制化研究报告折扣(9 折)
机构旗舰版年度会员
深度调研及高优先级支持-
企业多账号 (3 席位,若需增加席位请联系客服)
-
研报栏目内容 (所有项目、叙事与赛道等系列机构级研报全量解锁,每周上新,报告方向已覆盖 80+ Web3 赛道,用户评价“相见恨晚”)
-
研究简报(内容依托于研报,快速获取结构位置与核心判断)
-
市场脉搏分析、融资项目解密栏目内容(持续更新,市场热点与热门融资项目轻松捕获)
-
Web3 项目融资数据库
-
Web3 事件追踪数据库
-
会员周报(一周精华高效吸收)
-
解锁本会员权限的栏目历史内容
-
定制化研究报告(1 份,选题需审核,让业内享有盛誉的研究团队为你展开专项研究并输出成果)
-
优先获取重点研究方向预告说明
-
提前获取研报权(不限次,官方发布研报预告后可根据请求领先市场提前解锁)
-
分析师 1 对 1 沟通(1 小时,话题需审核)
-
分析师专属答疑服务(12 次提问,话题需审核)
-
查阅分析师答疑精华汇总栏目(精选高价值沉淀内容)
-
机构级闭门沟通会(每季度 1 次,获取行业趋势一手信息与资源)
-
机构专属社群(与 Web3 高管、机构、基金等共研精进)
-
可下载报告 PDF 版
-
数据库产品 CSV 下载(可根据请求“全量”提供,3次/年)
-
Web3 词库(支持报告内术语悬浮释义)
-
每日内参消息推送
-
每日精选推送
-
图解推送(热门数据、精华图)
-
研究方向沟通与反馈
-
定制化研究报告折扣(9 折)
